
바닷속 강관말뚝은 언제 위험해지는가 — PINN으로 읽는 해양 부식 수명 예측
해양 강관말뚝은 왜 녹고, 그 속도는 어떻게 예측할까? 염화물 확산, 부식 깊이, 잔존 두께, 구조 성능 저하를 하나의 흐름으로 묶은 2026년 논문을 중심으로, Physics-Informed Neural Network가 해양 인프라 유지보수에서 어떤 역할을 맡게 되는지 깊고 쉽게 풀어본다.

해양 강관말뚝은 왜 녹고, 그 속도는 어떻게 예측할까? 염화물 확산, 부식 깊이, 잔존 두께, 구조 성능 저하를 하나의 흐름으로 묶은 2026년 논문을 중심으로, Physics-Informed Neural Network가 해양 인프라 유지보수에서 어떤 역할을 맡게 되는지 깊고 쉽게 풀어본다.

강재가 바닷속에서 망가진다고 하면 우리는 흔히 "쇠가 녹는다"는 그림부터 떠올린다. 하지만 실제 엔지니어링 의사결정은 훨씬 더 냉정하다. 질문은 재료가 녹느냐가 아니라, 언제 임계 두께를 넘고 언제부터 유지보수 예산, 운휴 계획, 안전 여유가 깨지느냐다. 부식은 재료 문제이기 전에 시간 문제다.
특히 해양 구조물은 한 번 세우면 수십 년을 버텨야 한다. 항만의 강관말뚝, 해상풍력 하부구조, 해상교량 기초는 눈앞에서 조금씩 닳아도 바로 무너지지 않는다. 그래서 더 위험하다. 손상은 조용히 축적되고, 의사결정은 늘 "지금 바꿀 것인가, 조금 더 버틸 것인가"라는 형태로 도착한다.
이 글은 2026년 Discover Applied Sciences 8, 136에 실린 **Prediction of corrosion lifetime of marine environment steel pipe piles based on physics-informed neural network**를 중심으로, 염화물 확산과 부식 수명 예측을 하나의 체인으로 읽어 본다. DOI는 10.1007/s42452-025-08143-2다. 다만 이 글의 목적은 논문을 칭찬하는 요약이 아니다. 이 모델이 무엇을 잘했고, 어디까지가 유효하며, 어디서부터는 조심해서 읽어야 하는지를 엔지니어의 언어로 정리하는 데 있다.
미리 선을 그어 두자. 이 논문은 완전한 3D 국부부식 디지털 트윈이 아니다. 염화물 침투, 평균 부식 깊이, 잔존 두께, 이론 수명을 연결한 1차원적이고 평균화된 수명 모델에 가깝다. 그 점을 정확히 이해해야 이 논문이 유용해지는 지점도, 위험해지는 지점도 함께 보인다.
해양 인프라에서 부식은 눈에 띄는 균열처럼 극적이지 않다. 대신 아주 느리게, 그러나 거의 멈추지 않는 방식으로 자산 가치를 갉아먹는다. 이 때문에 해양 부식 문제는 설계보다 운영 단계에서 더 무겁다.
가장 먼저 떠올릴 수 있는 사례는 항만이다. 부두 전면의 강관말뚝은 선박 하중, 조석, 파랑, 충돌, 계류 하중을 버티면서 동시에 염화물과 용존산소에 장기간 노출된다. 검사 주기가 길고 수중부 접근이 어렵기 때문에, 몇 밀리미터의 손실이 언제 구조 안전 여유를 잠식할지 미리 알아야 한다.
두 번째는 해상풍력이다. 모노파일이나 재킷 하부구조는 단순히 녹는 문제가 아니라, 피로 하중과 동적 응답 위에 부식이 겹친다. 두께 손실은 곧 국부 강성 저하와 연결되고, 이는 다시 진동 특성, 접합부 응력, 유지보수 비용으로 돌아온다. NREL의 최근 O&M 문헌이 해상풍력 유지관리에서 상태 기반 접근을 강조하는 이유도 여기에 있다.
세 번째는 해상교량 기초다. 해상교량은 교통망 전체의 신뢰도와 연결되기 때문에, 기초 말뚝의 부식은 단순한 자재 교체 문제가 아니다. 항로, 세굴(scour), 파랑, 접근성, 공사 창(window)까지 함께 계산해야 한다. 이런 구조물은 대개 "언제 완전히 못 쓰게 되느냐"보다 "언제부터 위험 여유가 급격히 줄어드느냐"가 더 중요하다.
핵심은 같다. 해양 구조물의 실패는 보통 하루아침에 오지 않는다. 대신 아래와 같은 질문이 반복된다.
이 질문들에 답하려면 단순한 "현재 상태"가 아니라 시간에 따른 상태 전이 모델이 필요하다. 그래서 해양 부식 문제는 실은 재료역학, 확률론, 점검 데이터, 그리고 운영 전략이 만나는 수명 예측 문제다.
부식 수명 예측의 역사는 크게 네 단계로 읽을 수 있다. 현장 경험식, 확산 기반 물리 모델, FEM과 통계/신뢰성 모델, 그리고 최근의 PINN 같은 physics-informed ML 계열이다.
초기의 접근은 대체로 경험식이었다. 특정 해역, 특정 강종, 특정 노출대에서 얻은 시험편 데이터를 바탕으로 "연평균 몇 mm/year 정도 닳는다"는 식의 표준값을 만들고, 점검 데이터를 보정항으로 붙였다. 실무에서는 여전히 매우 중요하다. 이유는 단순하다. 계산이 쉽고, 데이터가 빈약해도 돌아간다. 하지만 공간 분포와 시간 변화, 경계조건 변화는 거칠게 뭉개진다.
그다음에 등장한 것이 확산 기반 모델이다. 염화물이 표면에서 안쪽으로 들어가는 과정을 농도장(concentration field) 으로 보고, 이를 통해 부식 개시와 진행을 설명하려는 방식이다. 여기서 중심에 있는 이름이 1855년의 아돌프 픽(Adolph Fick) 이다.
Fick의 핵심 아이디어는 생각보다 직관적이다. 냄새가 방 안에 퍼지듯, 농도가 높은 곳에서 낮은 곳으로 물질이 순 이동한다는 것이다. 이를 수식으로 적으면 Fick 제1법칙이 된다.
여기서 는 단위 면적당 확산 유속, 는 농도, 는 깊이 방향 좌표, 는 확산계수다. 마이너스 부호는 "높은 농도에서 낮은 농도로 간다"는 뜻이다.
그리고 질량보존을 결합하면 Fick 제2법칙이 나온다.
이 식의 의미는 분명하다. 어떤 깊이에서 시간이 지남에 따라 농도가 얼마나 변하는지는, 그 주변의 농도 곡률이 결정한다. 쉽게 말하면, 표면의 염분이 내부로 스며들며 농도 프로파일이 시간에 따라 펴지는 과정을 기술하는 식이다. 오늘날 콘크리트 염화물 침투, 도금층 확산, 열전달 유비 문제에서 이 식이 반복적으로 등장하는 이유다.
이후 연구는 더 정교해졌다. 유한요소해석(FEM)은 복잡한 형상, 경계조건, 다층 재료, 유동-확산 결합을 다루는 데 강했다. 확률론과 신뢰성 해석은 부식률의 불확실성, 검사 오차, 환경 변동을 수명 분포로 옮겼다. 베이지안 업데이트나 상태공간 모델은 검사 데이터를 받아 미래 상태를 갱신하는 데 쓰였다.
문제는 이런 모델들이 각자 대가를 가진다는 점이다. 경험식은 거칠고, FEM은 비싸며, 통계 모델은 물리 해석력이 약할 수 있다. 여기서 PINN이 등장한다. PINN은 데이터를 억지로 많이 모으는 대신, PDE와 경계조건을 학습기 안에 넣어 희소 데이터 역문제를 풀겠다는 접근이다. 1998년 Lagaris 등이 신경망으로 미분방정식을 푸는 발상을 제시했고, 2019년 Raissi, Perdikaris, Karniadakis가 현대적 형태의 PINN을 체계화하면서 이 흐름이 본격화됐다.
| 접근 | 무엇을 잘하나 | 한계 | 해양 부식에서의 위치 |
|---|---|---|---|
| 경험식 / 검사 기반 | 빠르고 설명이 쉽다 | 환경 변화와 공간 분포를 거칠게 평균화 | 초기 설계, 보수적 스크리닝, 데이터 빈약 구간 |
| FEM / 다물리 해석 | 형상, 경계조건, 결합 현상을 정교하게 반영 | 모델링 비용과 계산비가 크다 | 세부 설계, 국부 응답 분석, 고신뢰 시뮬레이션 |
| PINN | 적은 데이터로 물리 일관성을 유지하며 역문제를 풀기 좋다 | 가정이 약하면 그 약함을 그대로 학습하고, 훈련 안정성도 문제 | 상태 추정, 파라미터 식별, 검사-모델 연결의 중간층 |
그래서 2026년의 질문은 "PINN이 FEM을 대체하느냐"가 아니다. 오히려 어느 층위에서 PINN을 끼워 넣으면 현장 데이터와 물리 모델을 실용적으로 연결할 수 있느냐가 더 정확한 질문이다.
이 논문이 푸는 문제는 한 문장으로 요약할 수 있다. 바닷물 속 염화물이 강재 내부로 침투하고, 그 침투 전선을 평균 부식 전선으로 해석해, 강관말뚝의 잔존 두께와 이론 수명을 추정하자는 것이다.
논문이 상정하는 대상은 해양 환경에 놓인 강관말뚝이다. 그리고 문제를 다음 체인으로 단순화한다.

이 그림에서 봐야 할 포인트는 세 가지다. 첫째, 염화물 확산 모델이 입력층이다. 둘째, PINN은 실험 데이터와 물리식을 함께 써서 확산계수 같은 매개변수를 식별한다. 셋째, 그 결과가 최종적으로 수명 예측으로 이어진다. 즉, 이 논문은 "AI로 부식을 바로 찍어내는" 방식이 아니라 물리 체인 안에 학습기를 끼워 넣는 방식이다.
이 체인은 실무적으로 꽤 매력적이다. 데이터가 많지 않아도 돌아가고, 각 단계가 비교적 설명 가능하기 때문이다. 그러나 동시에 취약점도 이미 보인다. 염화물 침투 깊이 = 부식 전선 = 평균 두께 손실이라는 연결은 상당한 해석적 비약을 포함한다. 이 비약이 어디까지 허용되는지는 뒤에서 다시 비판적으로 보겠다.
비유를 먼저 하나 들자. 표면에 소금을 문질렀다고 해서 강재 전체가 한꺼번에 녹는 것은 아니다. 먼저 표면 근처 농도가 올라가고, 시간이 지나며 그 영향이 내부로 번져 간다. 이 "번짐"을 적는 언어가 다.
여기서
를 뜻한다. 논문은 임계값을 Ccr = 0.05 Cs로 둔다. 즉 표면 농도의 5% 수준이 특정 깊이에 도달하면, 그 지점을 사실상의 부식 전선으로 읽겠다는 것이다.
확산 지배 방정식은 다시 적으면 다음과 같다.
경계와 초기조건은 보통 이런 형태로 놓인다.
상수 표면 농도와 반무한체 가정을 두면, 이 방정식은 해석적으로도 익숙한 해를 갖는다.
즉 깊이 가 커질수록, 그리고 시간 가 짧을수록 농도는 급격히 떨어진다. 여기서 erfc는 complementary error function이다. 임계 조건 를 대입하면 침투 전선은
처럼 쓸 수 있다. 그래서 이 논문이 침투 깊이의 시간 의존성을 sqrt(t) 꼴로 읽는 것은 임의의 경험식이 아니라, Fick형 확산해의 구조에서 직접 나오는 해석이다.
이제 중요한 연결이 나온다. 논문은 어떤 시점의 염화물 침투 전선 를
로 정의하고, 이 전선을 평균 부식 깊이 증가와 연결한다. 즉,
이며, 최종적으로 잔존 두께는
가 된다. 이 글에서 꼭 붙잡아야 할 수식 연결은 바로 이것이다.
농도장 는 "염화물이 어디까지 들어왔는가"를 말하고, 는 "그 결과 평균적으로 얼마나 닳았는가"를 말하며, 는 "그래서 지금 남은 두께가 얼마인가"를 말한다. 각각은 다른 물리량이지만, 논문은 이들을 하나의 수명 체인으로 연결한다.
여기서 Table 11의 의미를 정확히 읽어야 한다. 이 표는 장기 벽두께 감소표가 아니라, 학습 반복이 진행될수록 PINN이 예측한 침투 전선이 얼마나 Fick형 sqrt(t) 거동에 가까워지는가를 보여 주는 적합 결과다. 즉 PINN이 낸 침투 깊이 곡선을
로 피팅했을 때, 학습이 진행될수록 a가 안정화되고 R^2가 올라간다는 뜻이다. Table 11에서 적합계수는 대체로
형태로 정리되며, 여기서 , , 수준까지 올라간다. 엔지니어링 해석으로 옮기면, PINN이 학습 후반으로 갈수록 침투 전선 예측을 더 매끈한 Fick형 확산 곡선으로 수렴시켰다는 뜻이다. 그 다음 단계에서야 이 침투 깊이를 평균 벽두께 손실과 잔존 두께 계산으로 넘겨 Table 12 같은 장기 두께 표가 나온다.
그 결과 Table 12의 대표 잔존 두께는 다음처럼 제시된다.
이를 평균 부식률로 환산하면 약 0.09 mm/year 수준이다. 그리고 논문은 mm에서 임계 두께 10.0 mm에 도달하는 시점을 이론 수명 89.4 years로 읽는다.
여기서 한 가지는 분명히 해야 한다. 이 식은 곧바로 구조 내력식을 푼 결과가 아니다. 정확히는 잔존 두께를 강성/내력 저하의 대리변수로 사용한 수명 추정이다. 실무적으로는 매우 자주 쓰는 방식이지만, 두께 감소가 곧바로 실제 지배 실패 모드와 일치하는지는 별도 검증이 필요하다.
이 논문에서 PINN은 마법 상자가 아니다. 역할은 꽤 명확하다. 희소한 실험 데이터와 확산 PDE를 함께 사용해 농도장과 확산 관련 파라미터를 일관되게 추정하는 학습기다. 다시 말해, 데이터가 적다고 해서 방정식을 버리지 않고, 방정식이 있다고 해서 데이터를 무시하지도 않는다.
신경망이 예측하는 주 대상은 다. 그리고 자동미분으로 , , 를 계산해 확산 PDE를 어기는 정도를 손실로 넣는다. 이를 식으로 읽으면 다음과 같다.
논문을 더 정확히 읽으면 총손실은 "PDE/경계/초기조건을 한 항으로 합친다"기보다, 서로 다른 제약을 병렬로 거는 형태에 가깝다.
여기서 핵심은 L_Physics가 단순히 L_PDE, L_BC, L_IC의 다른 이름이 아니라는 점이다. 앞의 세 항은 확산 PDE 자체와 그 경계/초기조건을 강제한다. 반면 L_Physics는 확산에서 계산된 침투 깊이와 그로부터 변환된 평균 두께 손실, 잔존 두께, 그리고 다시 구조적 양 사이의 모델 체인 일관성을 묶는 별도 항으로 읽는 편이 맞다.
즉 논문의 물리 체인은 대략 다음처럼 이해하면 된다.
여기서 나 는 시간이 지나며 바뀌는 구조 저항력이나 굽힘강성 같은 기계적 대리변수다. 따라서 L_Physics는 "확산 방정식을 잘 풀었는가"만이 아니라, 그 확산 결과가 두께 감소와 구조 성능 저하로 이어지는 후속 물리 해석과도 모순되지 않는가를 보는 항이라고 설명하는 편이 정확하다. 여기에 관측 데이터가 있다면
를 더해 전체 학습을 구성한다. 즉, 이 글에서 요구한 다섯 손실항의 관계는 이렇게 정리된다.
L_PDE: 확산 PDE 잔차L_BC: 경계조건 위반 정도L_IC: 초기조건 위반 정도L_Physics: C(x,t) -> Δd(t) -> d(t) -> F(t), EI(t) 체인의 별도 물리 일관성 손실L_Data: 측정 농도, 침투 깊이, 혹은 부식 깊이 데이터와의 오차핵심은 PINN이 단순 회귀와 다르다는 데 있다. 같은 7개의 데이터 포인트를 놓고도, 방정식을 모르는 회귀는 곡선을 맞추는 데 그친다. 반면 PINN은 그 곡선이 확산이라는 물리 문법 안에서 말이 되는가를 같이 묻는다.
이 논문에는 PSO도 붙는다. 여기서 PSO는 particle swarm optimization, 즉 입자 군집 최적화다. 이것을 "AI가 또 다른 AI를 똑똑하게 만든다"는 식으로 읽으면 과장이다. 더 정확한 해석은 이렇다. PSO는 네트워크 구조나 초기 파라미터, 하이퍼파라미터 탐색을 돕는 외부 최적화 레이어다. PINN이 본체이고, PSO는 초기 탐색을 좀 덜 거칠게 만드는 보조 장치다.
논문 수치가 이를 보여 준다. 실험 기반 확산계수는
이고, PINN+PSO는
를 얻는다. 반면 PSO 없이 추정하면
까지 튀며, 논문은 이를 실험값 대비 35.4% deviation으로 정리한다. 즉 PSO는 본질을 바꾸지 않지만, 이 문제에서는 파라미터 식별의 안정성에 실제로 기여한 셈이다.
이 지점에서 PINN을 더 넓게 이해하고 싶다면 PINN 기본 해설을, 결합 PDE에서 더 공격적인 구조화가 왜 필요한지 보고 싶다면 Sharp-PINNs 해설을 함께 읽는 편이 좋다.
논문의 실험은 현장 실구조를 그대로 재현한 것은 아니다. 전기화학적 가속 부식 실험이다. 시편은 Q235 계열로 읽히는 강재 볼트이며, 크기는 Ø10 mm × 60 mm다. 주요 시나리오는 20 °C, 600 mol/m³ NaCl 용액, constant current 5 A 조건에서 수행됐고, 0/8/16/24/32/40/48 h 시점마다 측정했다.
이 설정의 의미는 분명하다. 현장 바닷속 89년을 실험실에서 그대로 기다릴 수 없으니, 짧은 시간 안에 부식 진행 데이터를 얻어 모델을 식별하겠다는 것이다. 대신 그만큼 가속 실험에서 얻은 평균 손상 메커니즘이 장기 실제 해양 부식과 얼마나 닮았는가라는 외삽 문제가 필연적으로 남는다.
Table 8의 평균 부식 깊이는 다음과 같다.
Table 9의 PINN 예측은 다음이다.
| 시간 | 실험 평균 부식 깊이 (mm) | PINN 예측 (mm) | 읽을 포인트 |
|---|---|---|---|
| 0 h | 0.000 | 0.000 | 초기 조건 정합 |
| 8 h | 0.050 | 0.053 | 초기 구간에서 약간 높게 예측 |
| 16 h | 0.130 | 0.135 | 증가 기울기 추적 |
| 24 h | 0.185 | 0.190 | 중간 구간 안정적 |
| 32 h | 0.260 | 0.270 | 가속 구간도 추종 |
| 40 h | 0.350 | 0.340 | 약간 보수적 역전 |
| 48 h | 0.445 | 0.460 | 말기 구간도 큰 오차 없음 |

이 그림에서 독자가 봐야 할 것은 선이 예쁘게 겹친다는 사실보다, 7개 시점이라는 매우 적은 데이터에서도 PINN이 상승 추세와 곡률을 크게 벗어나지 않았다는 점이다. 논문은 부식 깊이 예측의 최대 편차를 < 6% 수준으로 정리한다. 다만 표의 반올림값으로 다시 계산하면 8시간 지점은 사실상 6%에 거의 붙기 때문에, 이 표현은 약간 낙관적으로 읽는 편이 안전하다.
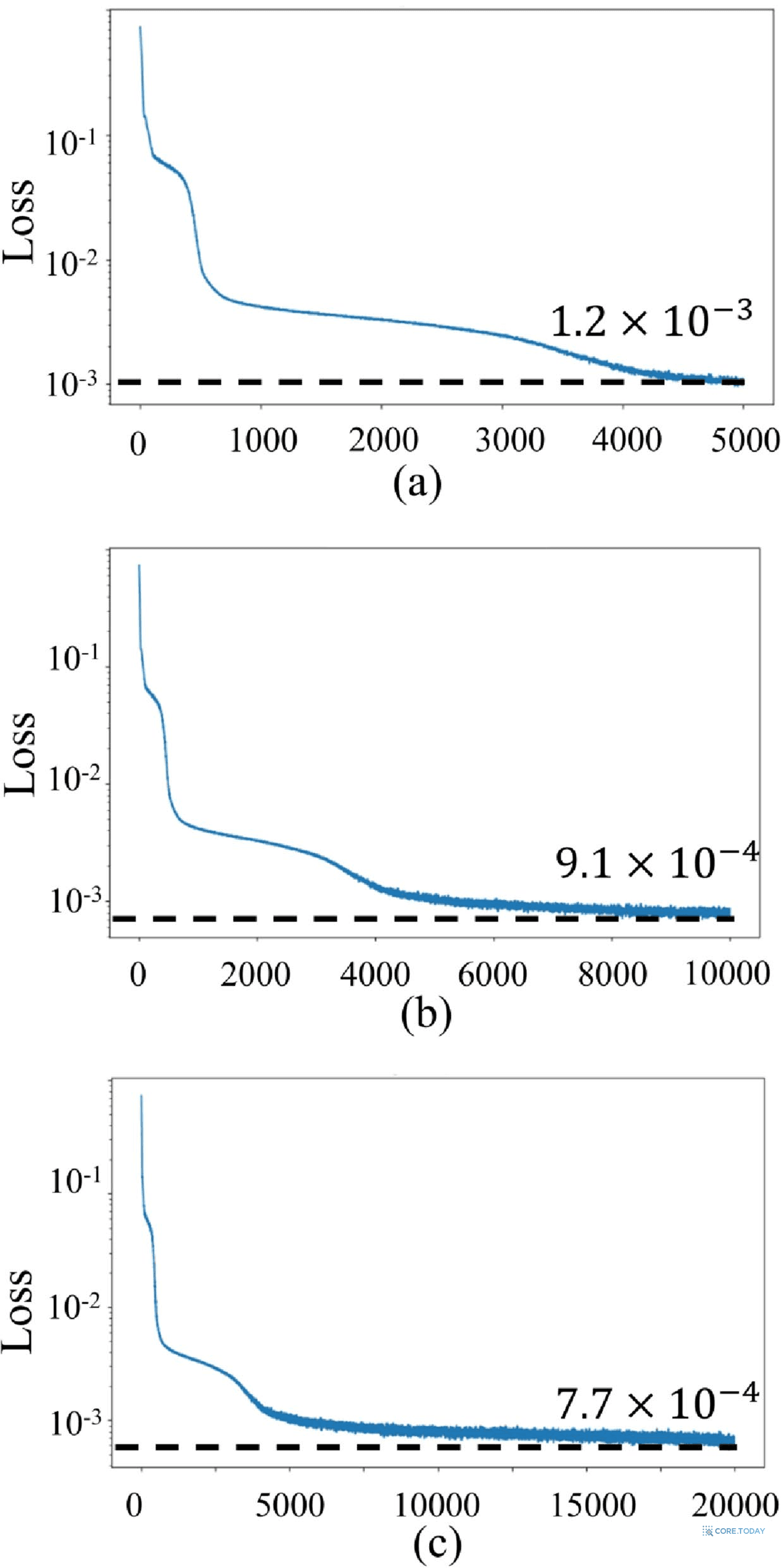
수렴도도 제시된다. Table 10의 손실은 5000 iteration에서 1.2 × 10^-3, 10,000 iteration에서 9.1 × 10^-4, 19,999 iteration에서 7.7 × 10^-4다.

이 그림에서 포인트는 단순하다. 손실이 줄어든다고 해서 물리적 진실이 자동으로 보장되는 것은 아니지만, 적어도 이 문제 설정 안에서는 PINN이 불안정하게 발산하지 않고 식별 가능한 역문제로 작동했다는 신호다.
장기 수명 결과는 더 인상적이면서 동시에 더 조심해서 읽어야 한다. 논문은 잔존 두께 저하를 바탕으로 theoretical lifetime 89.4 years를 제시한다.

이 그림에서 봐야 할 것은 "89.4"라는 숫자 자체가 아니라, 가속 부식 실험의 단기 데이터가 장기 두께 저하 곡선으로 외삽되는 방식이다. 20년 19.3 mm, 40년 17.8 mm, 60년 15.7 mm, 80년 13.8 mm, 그리고 89.4년 10.0 mm라는 수치는 깔끔하다. 하지만 현실이 이렇게 매끈하게 닳는지는 별도 문제다.
정리하면 이 장의 결과는 세 줄이다.
89.4 years는 어디까지나 평균화된 전선-두께 모델의 이론 수명이지, 현장 국부 손상까지 포함한 실구조 수명 선언은 아니다.먼저 잘한 점부터 보자. 이 논문은 염화물 확산, 파라미터 식별, 평균 부식 깊이, 잔존 두께, 수명 예측을 하나의 설명 가능한 체인으로 묶었다. 식이 보이고, 데이터가 보이며, 각 단계의 의미도 비교적 선명하다. 희소한 실험 데이터에 물리 제약을 넣어 역문제를 푼다는 PINN의 장점이 과장 없이 드러나는 편이다.
하지만 조심해야 할 점은 더 중요하다.
첫째, 논문은 염화물 침투 깊이를 사실상 부식 전선으로 취급한다. 그리고 그 전선을 다시 균일 부식(uniform corrosion) 기반 평균 벽두께 손실로 연결한다. 이는 완전 침지 구간에서는 어느 정도 이해할 수 있는 단순화지만, 실제 해양 구조물 전체를 설명하기에는 매우 강한 가정이다.
둘째, 실제 해양 구조물에서는 splash zone, crevice, pitting, flow effect가 종종 지배적이다. 용접부 틈새, 볼트 접합부, 코팅 손상부, 산소 공급이 큰 비말대, 세굴과 유동이 강한 말뚝 주위에서는 국부 전기화학 환경이 크게 달라진다. 이 경우 평균 농도장과 평균 두께 감소가 아니라, 가장 깊은 국부 피트 하나가 먼저 의사결정을 바꿀 수 있다.
셋째, 항만, 해상풍력, 해상교량 기초는 모두 구조적으로 긴 부재지만, 실패는 종종 국부에서 시작된다. 예를 들어 해상풍력 모노파일의 용접 인근 틈부식이나, 해상교량 기초에서 유동-세굴과 결합한 국부 손상이 지배하면, 논문식 평균 두께 수명은 국부 파괴 기준에 대해 비보수적(non-conservative) 일 수 있다. 다시 말해 평균적으로는 아직 13 mm가 남아 있어도, 특정 위치 피트가 이미 허용 한계를 넘었을 수 있다.
넷째, 실험-현장 대응성도 조심해야 한다. Ø10 mm × 60 mm 볼트의 48시간 전기화학 가속 부식에서 얻은 평균 깊이 곡선을 수십 년짜리 해양 강관말뚝으로 확장하려면, 적어도 다음이 추가로 필요하다.
이 점에서 논문 텍스트는 다소 낙관적이거나 어색하게 읽히는 대목이 있다. 염화물 침투 깊이와 부식 전선을 거의 같은 것으로 취급하는 서술은 연구 모델로서는 이해 가능하지만, 실무 해석에서는 그대로 받아들이면 안 된다. 더 정확한 표현은 이렇다. 이 논문은 fully immersed zone의 평균 손상 진전을 설명하는 데 적합한 surrogate를 제시했다. 하지만 이것은 아직 full 3D local-corrosion digital twin이 아니며, 피팅 지배 실패를 직접 판정하는 모델도 아니다.
그렇다고 해서 가치가 없다는 뜻은 아니다. 오히려 이런 한계를 분명히 알고 쓰면, 논문은 꽤 유용하다. 문제는 과신이지, 모델 자체가 아니다.
2026년의 맥락에서 이 논문이 중요한 이유는 "PINN이 해양 부식을 완전히 해결했다"가 아니다. 오히려 PINN이 inspection + sensing + lifecycle model 사이의 빈칸을 메우는 중간층으로 보이기 시작했다는 데 있다.
해상풍력에서는 이미 O&M 로드맵이 상태 기반 유지보수와 디지털 표현의 중요성을 강조한다. 교량 분야에서는 FHWA가 BIM과 lifecycle 관리, 그리고 조건 예측 데이터 인프라를 계속 밀고 있다. 항만과 해운에서는 싱가포르 MPA가 maritime digital twin을 공공 인프라 차원에서 밀고 있다. 흐름은 분명하다. 자산을 한 번 모델링하고 끝내는 시대가 아니라, 센서·점검·해석 모델이 계속 상태를 갱신하는 운영 체계로 가는 중이다.
이 문맥에서 PINN의 위치는 꽤 현실적이다.
이런 워크플로에서 PINN은 단독 주연보다 의사결정 보조 레이어에 가깝다. 예를 들어:
항만에서는 수중 두께 측정과 코팅 손상 기록을 받아 평균 손상 진전 속도를 갱신하는 데 쓸 수 있다.해상풍력에서는 모노파일 외벽의 두께 감소와 유지관리 창을 연결하는 예측층으로 쓸 수 있다.해상교량에서는 기초 부재의 상태 등급과 다음 정밀점검 시점을 정하는 지원 모델로 넣을 수 있다.중요한 것은 이 모델을 혼자 두지 않는 것이다. 2026년형 상태기반 유지보수에서 더 타당한 그림은 다음과 같다.
즉 이 논문의 진짜 의미는 "PINN으로 수명을 정확히 맞혔다"보다, 평균 손상 예측을 디지털 트윈 워크플로 안에 넣을 수 있는 형태로 정리했다는 데 있다. 그 정도로 읽으면 이 논문은 2026년의 산업 흐름과 잘 맞는다.
좋은 연구는 늘 두 가지를 동시에 남긴다. "이건 쓸 수 있겠다"와 "하지만 여기서부터는 조심해야 한다"를 함께 남긴다. 이 논문도 그렇다.
Prediction of corrosion lifetime of marine environment steel pipe piles based on physics-informed neural network는 염화물 확산, 평균 부식 깊이, 잔존 두께, 이론 수명을 하나의 읽기 쉬운 체인으로 엮었다. 실험 데이터가 많지 않은 상황에서 PINN이 어떤 식으로 물리 제약을 활용할 수 있는지도 보여 준다.
하지만 이 논문이 보여 준 것은 어디까지나 평균화된 완전 침지 구간의 수명 서사다. 현실의 해양 구조물은 비말대, 틈부식, 피팅, 세굴-유동 결합, 용접부 국부 손상으로 훨씬 더 지저분하다. 그래서 이 모델은 "현장을 모두 대체하는 답"이 아니라, 점검과 운영 의사결정을 더 잘 연결하는 하나의 중간 모델로 두는 편이 맞다.
그렇게 읽으면 이 논문은 충분히 의미 있다. 특히 항만, 해상풍력, 해상교량처럼 긴 시간축을 가진 인프라에서는 더욱 그렇다. 결국 중요한 것은 모델이 아니라, 모델이 어떤 질문에 답하도록 설계됐는지를 정확히 아는 일이다.